Расследования
Репортажи
Аналитика
RADIOInsider

OIL

109.24

USD

79.73

EUR

92.19

Поддержите нас

19189

 

 

 

 

 

Иллюстрация к материалу
Антифейк

Раздвоение публичности. Как RT транслирует фейки о прививках на западную аудиторию, а на российскую — пропагандирует вакцинацию

Пока Россия бьет новые рекорды по смертности от коронавируса, иностранные версии RT как ни в чем не бывало продолжают поддерживать антипрививочников и противников масок: иногда просто предоставляя им эфирное время, а иногда и распространяя откровенные фейки про COVID-19 и вакцинацию. Между тем российская версия RT отличается до неузнаваемости, своим согражданам RT объясняет, что вакцинироваться и носить маски обязательно нужно. The Insider собрал наиболее яркие примеры расщепления сознания редакторов RT.

Переобувание на лету

В первые месяцы после начала пандемии COVID-19 российские госканалы объясняли, что беспокоиться не о чем — коронавирус, мол, не страшнее гриппа. В ногу с остальными шагала и Маргарита Симоньян, утверждавшая, что COVID не так страшен, а «избыточная паника по поводу коронавируса по всему миру точно нанесет больший урон человечеству и мы потеряем больше людей, чем из-за вируса самого по себе». Через некоторое время Россия вышла на первое место в мире по смертности от коронавируса, но посеянный пропагандой скепсис прижился, и к концу в 2020 года, когда в России появилась прививка, концепция изменилась, пропаганде пришлось уже убеждать россиян, что вирус опасен и прививаться надо. Маргарита Симоньян поспешила переобуться вместе с остальными, привилась оной из первых и уже год активно продвигает вакцинацию. Так, недавно она в своем Telegram-канале она написала обращение ко всем, кто не желает вакцинироваться, и попросила тех, у кого нет антител, кто сознательно не привит, не приходить к ней домой, на работу и не подходить к ней на улице. «Я вас знать не знаю. Если бы не вы, мы бы уже забыли про ковид. Задыхайтесь сами на ИВЛ, ползайте с сатурацией семьдесят по коридорам битком набитых больниц — это на здоровье».

На русскоязычном сайте RT та же повестка. В июне, к примеру, вышел материал под заголовком «Вакцинироваться — нормально». Автор статьи, бывшая помощница Алексея Венедиктова, а ныне видная пропагандистка Леся Рябцева, пишет: «Совершенно нормально вакцинироваться, потому что это дарит не только антитела и безопасность перемещения без риска заразиться в тяжёлой форме, но и надежду, что скоро мы заживём нормально, хорошо, без тревожности и страха скорых ограничений, без страха потерь».

Гости и колумнисты русской службы RT громят антипрививочников. Так, врач Мария Марусина, соавтор работы «Отказ от вакцинации — новая чума XXI века» в эфире RT рассказала, как зарождалось антипрививочное движение в мировой и российской истории и объяснила, что медиа должны всюду говорить об эффективности прививки, называть конкретные цифры и показывать реальную статистику.

В русскоязычном Telegram-канале RT также нередко появляются посты, в которых говорится, что ношение масок — необходимая мера при борьбе с коронавирусом, а на русскоязычном сайте часто появляются рерайты новостей других изданий под заголовками «Врач отметил необходимость ношения детьми масок в общественных местах», «Терапевт Панов напомнил о важности профилактики COVID-19», «Иммунолог Крючков дал советы по использованию многоразовой маски».

Что русскому хорошо, то немцу смерть

Пока россиянам объясняют необходимость прививки, на западную аудиторию направлен поток дезинформации об опасности вакцинации. Особенно досталось Германии. Так, в сентябре на сайте немецкой версии RT вышел материал под заголовком «Лимфоциты выходят из-под контроля — патологоанатомы расследуют смертельные случаи после вакцинации против COVID-19». В материале говорится о том, что два патологоанатома, «профессор» Арне Буркхард и «профессор» Вальтер Ланг, предоставили результаты неких исследований о десятках смертей, якобы связанных с вакцинацией от COVID. Также «профессоры» показали фотографии, на которых якобы были следы неких инородных тел в вакцинах. В действительности же Буркхард и Ланг уже несколько лет не работают паталоганатомами, не вскрывали трупы сами и, откуда взяты их данные, не потрудились объяснить, а обе немецкие ассоциации паталогоанатомов заявили, что это «исследование» не является научным. «Инородные тела» на представленных ими фото оказались обычной пылью. Более того, как выяснилось, оба «профессора, являются самыми настоящими мошенниками, они состоят в ассоциации «Лекарства и ученые за здоровье, свободу и демократию» (MWGFD), которая продавала сертификаты, якобы освобождающие их обладателей от ношения масок.

Это далеко не единственный пример дезинформации RT о COVID, рассчитанный на немецкую аудиторию. Так, в мае 2021 года RT опубликовал статью под заголовком «Фармацевт не хочет делать прививку от короны: «Не хочу менять свою ДНК». RT рассказал, о том, что управляющий директор крупнейшей греческой фармацевтической компании Vianex Димитрис Гианнакопулос не хочет делать прививку от COVID: «Я не вакцинировался и не буду вакцинироваться. Не потому, что я боюсь побочных эффектов, а потому, что не хочу, чтобы подменяли мою ДНК». При этом телеканал не сделал никаких пояснений о том, что изменение ДНК посредством прививки физически невозможно.

А в августе RT опубликовало интервью с «известным швейцарским иммунологом» Бедой Штадлером, который рассказал, что коронавирус не может течь бессимптомно, а потому ПЦР тесты не нужны, от COVID-19 помогает обычный иммунитет, ведь COVID обычное сезонное простудное заболевание. Штадлер действительно раньше работал иммунологом, но все эти заявления являются доказано ложными, и никаких опубликованных исследований в подтверждение своих слов Штадлер не приводит.

Есть и другие примеры. Скажем, в самом начале пандемии, в конце марта 2020 года, RT DE писал, что Германия отказалась от помощи Китая, хотя на самом деле к моменту выхода статьи уже получала маски и тесты из КНР. В ноябре 2020-го на сайте RT DE написали, что из-за локдауна смертность возросла на 45%. Но для материала использовали исследование, проведенное лишь в одном регионе, а предположения его авторов выдали за окончательные выводы, общие для всей страны. В той же статье сообщалось, что якобы вдвое выросло число одиноких людей, найденных дома мертвыми (ничего подобного не происходило).

А в июле 2021 года RT DE рапортовал, что новое секретное японское исследование показало, что от «Пфайзера» в организме подопытных животных накапливались наночастицы. На самом деле исследование, на которое ссылался RT, не новое, а старое, не секретное, а опубликованное в открытых источниках, и никаких доказательств вреда от вакцины «Пфайзер-Биотек» в нем нет.

Еще один материал, из-за которого заблокировали немецкие ресурсы Russia Today, — интервью с эпидемиологом Фридрихом Пюрнером под заголовком «Обучайте людей, которых вы вакцинируете». Что интересно, Пюрнер был уволен с поста главы департамента здравоохранения одного из районов Баварии за критику земельного правительства в сфере борьбы с коронавирусом.

Наконец, в сентябре 2021 года сайт RT DE распространил фейк конспиролога Стива Кирша (названный телеканалом «ведущим исследователем коронавируса»): «Вакцина Пфайзер убивает больше людей, чем спасает». Он ссылается на существующее исследование, но полностью искажает его результаты.

Плотный поток дезинформации о коронавирусе вынудил YouTube заблокировать два принадлежащих RT канала — RT DE и Der Fehlende Part, чем вызвал ярость Маргариты Симоньян. Которая, впрочем, постеснялась объяснить, почему все эти материалы об опасности вакцин существовали только на немецкой версии сайта, ведь если это все правда, разве не нужно срочно предупредить об этом российское население?

RT на английском и французском: рупор для антиваксеров

Англоязычная версия RT по концентрации откровенных фейков несколько уступает немецкой, но без них тоже не обошлось. Можно вспомнить, например, октябрьский материал «Теперь ученые подтвердили, что естественный иммунитет более эффективен, чем привитый иммунитет, почему я не могу вернуть себе свободу?». Автор статьи — Рэйчел Марсден, обозреватель и ведущая программы на французском языке, которая транслируется на Sputnik France. На самом деле ничего подобного ученые не подтверждали, журналистка ссылается на единственное исследование из Пуэрто-Рико, которые, скорее идет вразрез с научным консенсусом, согласно которому легко переболевшие не защищены от повторного заболевания и тяжелого протекания болезни.

RT в англоязычных медиа стал основной платформой для антипрививочников. Некая Джани Аллан в колонке на RT возмущается: «Прививайся или страдай в локдауне под дулом автомата: власти не успокоятся, пока не заставят уколоться 70% взрослого населения. Это фашистское принуждение, которое нарушает запрет на медицинские эксперименты и основные права человека, в том числе на информированное согласие».

Отдельная серия публикаций RT направлена против ношения масок: в мае 2021 года RT опубликовал материал с заголовком «Новые правила CDC создают кастовую систему, разделяя людей на чистых и нечистых», а в июле под заголовком «Маски: держите длинные руки закона подальше от моего лица».

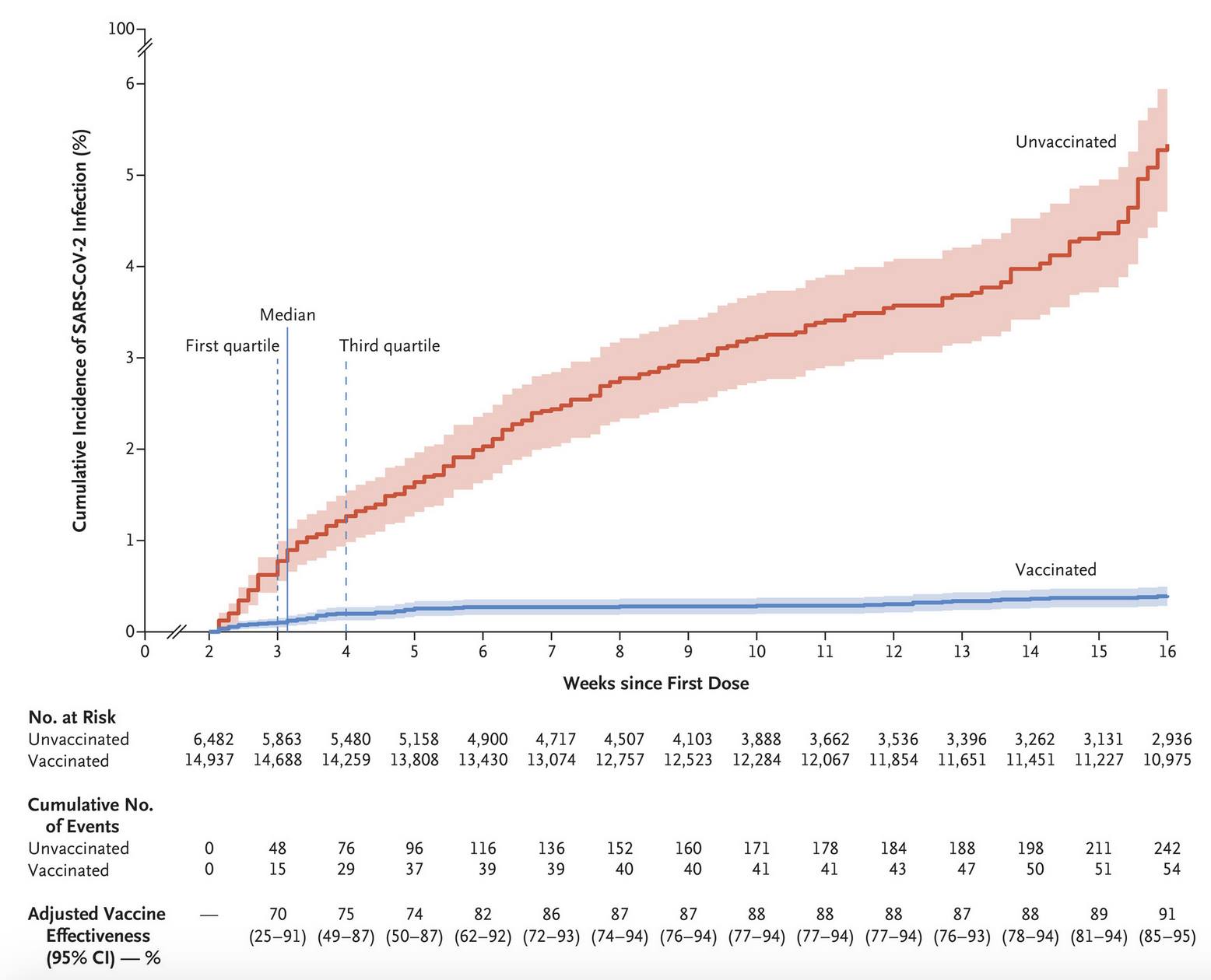
Французская версия сайта RT не менее активно продвигала повестку против вакцинации. Один из излюбленных приемов RT — взять единичное исследование, вырвать его из контекста и представить за мнение всех ученых. Так, RT выпустил на французском языке статью о том, что число привитых не влияет на распространение коронавируса. В действительности же речь идет об одной единственной публикации в Европейском журнале эпидемиологии, где авторы просто сравнили число новых случаев за последние 7 дней с долей вакцинированных и не нашли четкой корреляции по странам. Но, во-первых, RT ни словом не обмолвился, что смертность (равно как и число госпитализаций) при этом различается принципиально — скажем, при сопоставимом числе новых случаев в России и Британии смертность среди британцев — 100–150 человек в день, а в России (только по официальной статистике) более тысячи. Во-вторых, публикация не претендовала на серьезные научные выводы, ее авторы просто сравнили число новых заболевших по странам за последнюю неделю по сайту Worldometers, при этом различия внутри стран никак не учитывались. Между тем другие исследования показали, что, например, в США число новых случаев в вакцинированных и не вакцинированных штатах различается в три раза, и даже в масштабах одного штата Нью-Йорк обнаружена корреляция между числом вакцинированных и новых случаев. Необходимо учитывать также и демографию: в благополучных странах рост новых случаев сейчас идет в основном за счет детей и подростков — именно потому, что они не вакцинированы. Для наглядности — вот простой график, на нем кумулятивное (накопившееся) число подтвержденных инфекций коронавирусом в Северной Каролине среди привитых мРНК-вакцинами (синяя линия) и непривитых (красная):

Иллюстрация к материалу

Помимо распространения дезинформации французский сайт RT, как и англоязычный, отличается сверхактивным освещением акций антиваксеров, причем не только во Франции и Англии, но по всему миру — от Швейцарии до Австралии. Причем RT, как правило, преподносит ковид-диссидентов не как невежественных людей, склонных к конспирологии, а как борцов за права и свободы. Так, например, в сентябре во французской редакции RT вышел материал под заголовком «Меры против Covid-19 в Австралии: свобода принесена в жертву санитарному алтарю? Анализ». Автор статьи называет государственные меры репрессивными и драконовскими. Что же это за тоталитарные меры и непосильные требования? Ношение масок в общественных местах, двухнедельная самоизоляция после возвращения из-за границы и телефонное приложение, которое помогает следить за соблюдением изоляции: то есть все то, что широко применяется уже второй год по всему миру.

Как правило, герой RT — «простой работяга», восставший против машины государственного принуждения. Так, например, в октябре репортер французской версии RT взял интервью у логопеда из города Шамбри, которая решила уволиться из-за закона об обязательной вакцинации или ПЦР-тестирования медперсонала, так как считает недопустимой обязательную вакцинацию, а платить за тесты она не хочет. Кроме того, логопед против ношения масок, по этой причине она перевела своего ребенка на домашнее обучение на время, пока маски в учебных заведениях являются обязательным атрибутом. Репортаж построен на одном герое, в нем нет ни мнения властей о том, почему пришлось ввести ограничительные меры, ни мнения ученых о вакцинации и ношении масок. Подобного рода материалы RT публикует едва ли не ежедневно.

Арабская версия: вакцина — плохо, если только она не русская

Чуть реже, но все же довольно часто выходят анти-прививочные материалы и на арабском сайте RT. Забавно, что RT умудрялось совмещать особенно активное освещения антипрививочных акций (как, например, протестов в Морокко), с рекламой российской вакцины. В одной из публикаций цитировали руководителя НИЦЭМ имени Гамалеи Александра Гинцбурга, где он утверждал, что у тех, кто был привит вакциной «Спутник V», якобы никаких побочных эффектов не зафиксировано после получения двух и даже трех доз. На самом деле производители «Спутника» сами предупреждают: среди побочных эффектов «Спутника» гриппоподобное состояние, боль в месте укола и слабость, реже — повышенная температура, мышечная и головная боль.

Не только в арабской, но и в остальных версиях RT можно увидеть в самых мельчайших подробностях новости обо всех проблемах иностранных вакцин, начиная от побочных эффектов, заканчивая недавним «разоблачением» клинических испытаний Pfizer, в котором и RT тоже поучаствовал. Несложно догадаться, между тем, какую вакцину RT никогда не критикует.

Нам очень нужна ваша помощь

Подпишитесь на регулярные пожертвования

Подпишитесь на нашу еженедельную Email-рассылку